LOGO         LOGO

PRI (MPIfR) 01/06 (1) Press Release 2.2.2006 / 13.4.2006


Note added 31.10.2007: Recent size measurements by Stansberry et al. (2007) of KBOs using Spitzer infrared data show that the size of Eris is consistent with 2600 (-200/+400) km, which is consistent with both the HST and MAMBO measurements.

Comment on the recent Hubble Space Telescope size measurement of 2003 UB313 by Brown et al.

We are impressed by the direct Hubble Space Telescope size measurement of Xena by Mike Brown and his team (Brown et al. in press). Measuring the size of such a tiny and moving object is a very difficult task. We were pleased to learn that our claim that 2003UB313 is larger than Pluto, was confirmed. However, we were surprised by the smaller diameter implied by the new measurements and the implied high albedo (reflectivity). Although an albedo of 90% has never been observed for Kuiper Belt Objects (which typically show 10-20%), it is not totally implausible, as Brown et al. suggest in their article.

The question naturally arises why our size measurement based on the detection of thermal emission (2600 - 3400 km diameter, a 68% confidence level range typically used, corresponding to one standard deviation in statistical terms) is in apparent conflict with the HST measurement (2300 - 2500 km, 68% confidence). One should realize though that the measurements are consistent at the 1.3 standard deviation (80%) confidence limit of both measurements, i.e. in each measurement there is a 10% chance that the diameter is around 2530 km.

One way to even better reconcile both measurements is to lower the assumed ratio between the bolometric (also called "Bond") albedo, A, and the optical "geometric" albedo, p, from the value we had adopted, q=A/p=0.9, to q=0.7 (q is also called the "phase integral"). In this case, the size derived from the thermal measurement is reduced by 100 km, so that both measurements would agree within the 68% confidence limits at ca. 2500 km.

What does it mean to reduce the value of q? This parameter is not very well constrained, neither theoretically nor empirically from observations of solar system objects. It relates two albedos: the bolometric Bond albedo specifies what fraction of the total incident radiation energy is reflected, whereas the geometric albedo, p (usually measured in the optical red) specifies what fraction of the red sunlight is reflected toward the observer. Both values are usually not equal. For many materials, the reflectivity depends on wavelength, so that the albedo as averaged over all wavelengths, A, is different from that at any particular wavelength. This is a rather complicated issue since the back-reflectivity of a tilted material surface also depends much on the surface roughness. Consider, e.g., a highly reflective surface such as a metal plate. Placing a smooth metal film on a sphere results in a very low average albedo for this sphere, because only few rays reflect toward the observer - despite the reflective nature of the material. A ragged or porous material such as snow on the other hand would reflect back well even if viewed at some angle.
A wide range of values of q has been measured for solar system objects, ranging from 0.2 to over 1.2. We had chosen 0.9 because this is an average value found for Pluto, which we thought to be an appropriate analogon. The "small" diameter implied by the HST measurement may suggest that q is indeed smaller than 0.9, and it thereby tells us something interesting about the optical property of the surface.

Besides this ratio of albedos we should point out at least other possible sources of uncertainty in UB313's size measurement. Two important assumptions were made when deriving a size for UB313 from the HST measurements: a specific radial brightness profile on the optical "disk" (the "center-to-limb function"), and second, the implicit assumption that the star observed for comparison with UB313 is a single star.

For the radial brightness profile Brown et al. assumed a reasonable best guess, i.e. that measured for Triton. Using a different profile, e.g. flat instead of a limb-darkened, or, in the opposite extreme, a reflective smooth film as mentioned above, would have a very large effect on the derived size, an effect much bigger than the statistical measurement uncertainty of 100 km. Brown and collaborators did use the best reasonable guess they could make (just as we used q=0.9 assuming UB313 is similar to Pluto) - which may be correct, or may not.
Assuming the reference star to be single is a good guess, but is far from certain. Roughly half of all stars are multiple systems, and a faint field star such as the one chosen for the measurement is likely to be distant enough (more than 1000 light years) that the most likely separation of any companion star is comparable to the apparent size of UB313, of order 10 milli-arcseconds. There is thus a small but not negligible chance that the reference star image was slightly extended, which would result in too small a diameter derived for UB313 when comparing the respective images.

Given the inherent uncertainties in both methods, the actual size of 2003 UB313 is not established beyond reasonable doubt by either the MAMBO or HST measurements. Both may be right, in which case we learn something rather interesting about the surface property of this exotic object. Precise measurements of the diameter (and with this the albedo) of UB313 will eventually be possible with powerful ALMA radio interferometer to be installed in the Chilean desert, or with the James Webb Space Telescope .

The most distant object yet known in the solar system turns out to be a rich source of puzzling information, and an exciting challenge.
(FB, 13. April 2006)


At the bottom of this page you find information in addition to that of the official MPG/Bonn University press release which is repeated first


New "planet" is larger than Pluto:

Bonn astronomers measure size of newly discovered solar system object

Jan 28 version of this page as word  pdf

MPG Press Release: Deutsch English


Claims that the Solar System has a tenth planet are bolstered by the finding by a group lead by Bonn astrophysicists that this putative planet, announced last summer and tentatively named 2003 UB313, is bigger than Pluto. By measuring its thermal emission, the scientists were able to determine a diameter of about 3000 km, which makes it 700 km larger than Pluto and thereby marks it as the largest solar system object found since the discovery of Neptune in 1846.

Like Pluto, 2003 UB313 is one of the icy bodies in the so-called Kuiper belt that swarms beyond Neptune. It is the most distant object ever seen in the Solar System. Its very elongated orbit takes it up to 97 times farther from the Sun than is the Earth - almost twice as far as the most distant point of Pluto's orbit – so that it takes twice as long as Pluto to go around the Sun. When it was first seen, UB313 appeared to be at least as big as Pluto. But an accurate estimate of its size was not possible without knowing how reflective it is. A team lead by Prof. Frank Bertoldi from the University of Bonn and the Max-Planck-Institute for Radioastronomy (MPIfR) and the MPIfR's Dr. Wilhelm Altenhoff has now resolved this problem by using measurements of the amount of heat UB313 radiates to determine its size, which when combined with the optical observations also allows them to determine its reflectivity. "Since UB313 is decidedly larger than Pluto," Frank Bertoldi remarks, "it is now increasingly hard to justify calling Pluto a planet if UB313 is not also given this status."

UB313 was discovered in January 2005 by Prof. Mike Brown and his colleagues from the Californian Institute of Technology in a sky survey using a wide field digital camera that searches for distant minor planets at visible wavelengths. They discovered a slowly moving, spatially unresolved source, the apparent speed of which allowed them to determine its distance and orbital shape. However, they were not able to determine the size of the object, although from its optical brightness it was believed to be larger than Pluto.

Astronomers have found small planetary object beyond the orbits of Neptune and Pluto since 1992, confirming a then 40-year old prediction by astronomers Kenneth Edgeworth (1880-1972) and Gerard P. Kuiper (1905-1973) for the existence of a belt of smaller planetary objects beyond Neptune. The so-called Kuiper Belt contains objects left from the formation of our planetary system some 4.5 billion years ago. In their distant orbits they were able to survive the gravitational clean-up of similar objects by the large planets in the inner solar system. Some Kuiper Belt objects are still occasionally deflected to then enter the inner solar system and may appear as short period comets.

In optically visible light, the solar system objects are visible through the light they reflect from the Sun. Thereby the apparent brightness depends on their size as well as on the surface reflectivity. Latter is known to vary between 4% for most comets to over 50% for Pluto, which makes any accurate size determination from the optical light alone impossible.

The Bonn group therefore used the IRAM 30-meter telescope in Spain, equipped with the sensitive Max-Planck Millimeter Bolometer (MAMBO) detector developed and built at the MPIfR, to measure the heat radiation of UB313 at a wavelength of 1.2 mm, where reflected sunlight is negligible and the object brightness only depends on the surface temperature and the object size. The temperature can be well estimated from the distance to the sun, and thus the observed 1.2 mm brightness allows a good size measurement. One can further conclude that the UB313 surface is such that it reflects about 60% of the incident solar light, which is very similar to the reflectivity of Pluto.

Figure 1:  The diameter of 2003 UB313 compared with that of the Pluto, Charon, Earth, and the Moon.

(credit: F.B.; larger version, larger version without labels, larger version with German labels, small version with German labels, Photoshop psd (3.7MB) )

"The discovery of a solar system object larger than Pluto is very exciting," Dr. Altenhoff exclaims, who has researched minor planets and comets for decades. "It tells us that Pluto, who should properly also be counted to the Kuiper Belt, is not such an unusual object. Maybe we can find even other small planets out there, which could teach us more about how the solar system formed and evolved. The Kuiper Belt objects are the debris from its formation, an archeological site containing pristine remnants of the solar nebula, from which the sun and the planets formed." Dr. Altenhoff made the pioneering discovery of heat radiation from Pluto in 1988 with a predecessor of the current detector at the IRAM 30-meter telescope.

The size measurement of 2003 UB313 is published in the 2 February 2006 issue of Nature. The research team includes Prof. Dr. Frank Bertoldi (Bonn University and MPIfR), Dr. Wilhelm Altenhoff (MPIfR), Dr. Axel Weiss (MPIfR), Prof. Dr. Karl M. Menten (MPIfR), and Dr. Clemens Thum (IRAM).

Figure 2:   To detect the very faint millimeter wavelength emission from UB313, the Bonn group used the IRAM 30-m telescope on Pico Veleta in the south of Spain, and the very sensitive heat sensor MAMBO-2, which was developed and built at the MPIfR in Bonn by the group of Dr. Ernst Kreysa. The Institute for Radio Astronomy at Millimeter wavelengths (IRAM) is supported jointly by the German Max-Planck-Society, the French Centre National de Recherche Scientifique (CNRS) and the Spanish Instituto Geografico Nacional.

(Credit: left: IRAM, right: MPIfR; larger image versions: IRAM 30m 2048pix, MAMBO-2 2048pix; Alternative images: MAMBO-2 horn array, MAMBO-2 with hands )


The Kuiper Belt

UB313 is a members of a ring of some 100,000 objects in the outskirts of the solar system, beyond Neptune at distances over 4 billion km from the sun, over 30 times the distance between Earth and Sun. The objects in this "Kuiper belt" circle the sun in stable orbits with periods of about 300 years. In the mid of last century, the existence of a ring of small planetary objects was first suggested by the astronomers Kenneth Edgeworth (1880-1972) and Gerard P. Kuiper (1905-1973), but the first discovery of a "Kuiper belt object" was not until 1992. By now, over 700 such objects are known. UB313 is somewhat different from the normal Kuiper belt in that its orbit is highly excentric and 45 degrees inclined to the ecliptic plane of the planets and Kuiper Belt. It is likely that is originated in the Kuiper Belt and was deflected to its inclined orbit by Neptune. For more detailed information on the Kuiper belt, browse the web page by David Jewitt

An expert note on the size uncertainty

The intensity of radiation measured with MAMBO-2 at 1.2 mm wavelength is quite faint and the observations were therefore rather challenging. In the units astronomers use, the average flux measured in the 5.6 hours of on-sky observations during four nights between August 19 and 27, is 1.27 milli-Jansky (mJy, which in phyiscal units is 1e-26 erg s^-1 cm^-2 Hz^-1), with a statistical measurement uncertainty of 0.26 mJy, one standard deviation, meaning there is a 68% probability that the actual value lies between 1.27-0.26 and 1.27+0.26 mJy.
We get another 5% uncertainty coming from the absolute flux scale calibration, for which we use observations of Mars and Uranus, objects for which we know the flux well. A slight mispointing of the telescope can also lead to a 5-10% uncertainty in the flux.
We have taken all these uncertainties into account when deriving a measurement uncertainty for the size of UB313, which is about +-270 km, which again means a 68% confidence range.
Another uncertainty in the object size derives from that we do not know anything about the orientation of its rotation axis and the rotation speed. It makes a small difference to the surface temperature whether the object rotates such that the entire surface is illuminated to the sunlight within a short time (shorter than a few days) or whether one of the poles is pointing at the sun and only this hemisphere is illuminated, or, which has the same effect, if the rotation is very slow. In the latter case, the side facing the sun (and us) is warmer (about 27 degrees Kelvin) than in the former, fast rotator case (ca. 23-24K). This small temperature uncertainty translates into an uncertainty in the size we estimate from the thermal emission, about 200 km from one extreme to the other.
We summarize the uncertainties in diameter by quoting an average value of 3000 km +-300 km (measurement and calibration uncertainty) +-100 km (orientation uncertainty). Thus there remains a 16% probability that the size is smaller than 2600 km if the object is slowly rotating or viewed pole-on, and a 16% chance that it is larger than 3400 km if it is rotating quickly and seen equator-on. The most likely diameter given the current data is 3090 km for the "fast rotator" case, and 2860 km for the "slow rotator" case, or on average, about 3000 km.

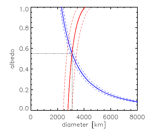
How do we derive the diameter and reflectivity? (31.1.)

The following diagram shows how we combine the optical and radio constraints on diameter and reflectivity (=albedo). From the optical brightness of UB313 we can derive a constraint curve on diameter and albedo that is given by the blue line; the dashed blue lines represent our current uncertainty on the brightness measurement. The red line give the constraints we get from the MAMBO-2 measurement alone, again with the measurement uncertainty shown by the parallel dashed lines (68% confidence level). The intersection of the two curves gives the best current estimate on the diameter and albedo of UB313. The case we show here assumes the "fast rotator" case, meaning that UB313 rotates faster than about 2 days and is seen equator-on.



Abstract of Nature paper:

The trans-neptunian object UB313 is larger than Pluto

F. Bertoldi, W. Altenhoff, A. Weiss, K.M. Menten, C. Thum

The most distant known object in the Solar System, 2003 UB313 (97 au from the Sun), was recently discovered near its aphelion. Its high eccentricity and inclination to the ecliptic plane, along with its perihelion near the orbit of Neptune, identify it as a member of the ‘scattered disk’. This disk of bodies probably originates in the Kuiper belt objects, which orbit near the ecliptic plane in circular orbits between 30 and 50 au, and may include Pluto as a member. The optical brightness of 2003 UB313, if adjusted to Pluto’s distance, is greater than that of Pluto, which suggested that it might be larger than Pluto. The actual size, however, could not be determined from the optical measurements because the surface reflectivity (albedo) was unknown. Here we report observations of the thermal emission of 2003 UB313 at a wavelength of 1.2 mm, which in combination with the measured optical brightness leads to a diameter of 3,000±300±100 km; here the first error reflects measurement uncertainties, while the second derives from the unknown object orientation. This makes 2003 UB313 the largest known trans-neptunian object, even larger than Pluto (2,300 km). The albedo is 0.60±0.10±0.05, which is strikingly similar to that of Pluto, suggesting that the methane seen in the optical spectrum causes a highly reflective icy surface.

Further information:
click to reach Nature

Do contact the authors for additional information:

Prof. Dr. Frank Bertoldi
Tel.: +49 - 228 - 73-6789  or mobile:  +49 - 176 - 20114268
e-mail: bertoldi (at) astro. uni-bonn. de

Dr. Wilhelm Altenhoff
Tel.:+49 - 228 - 525-293
e-mail: waltenhoff (at) mpifr-bonn. mpg. de

Prof. Dr. Karl M. Menten
Tel.: +49 - 228 - 525-297
e-mail: kmenten (at) mpifr-bonn. mpg. de

Dr. Norbert Junkes (MPIfR  public outreach)
Tel: +49 - 228 -  525-399
e-mail: njunkes (at) mpifr-bonn. mpg. de