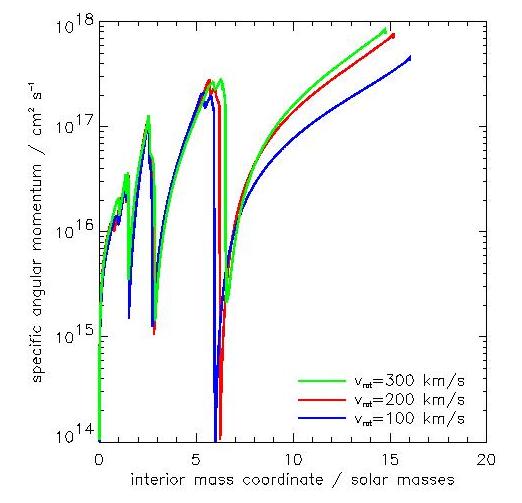
Final Angular Momentum Distribution in 20M_sun Stars

The distribution of specific angular momentum in the pre-collapse models of our 20M_sun evolutionary sequences with rotation. Note that the core angular momentum is almost independant of the initial rotation rate (see labels). In the frame of the collapsar model for gamma-ray bursts (cf. MAcFadyen and Woosley 1999, Astrophysical Journal Vol. 524, p.262), a gamma-ray burst might form if the collapsing iron core has a specific angular momentum of at least several 10**17 ccm/s. Our models,like the examples in the above figure, generally give smaller values! Find more details in our paper in Astrophysical Journal Vol. 528, pp. 368-396 (Jan. 1, 2000), or in Alexander Heger's PhD Thesis here .