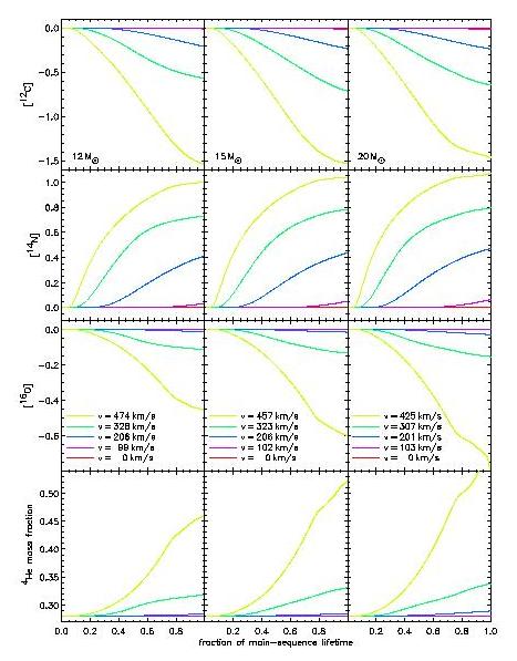
Changes of the Surface Chemical Abundances due to Rotational Mixing

Rotation leads to mixing inside stars, which may alter their surface abundances and can thus be tested by observations. Each of the subplots shows the surface mass fraction for helium (lowest row) or the ratio of the surface abundance of an isotope divided by its initial abundance (other rows) as function of the fractional main sequence (core hydrogen burnig) life time, for five evloutionary sequences of a given initial mass (see top row) and various initial equatorial rotational velocities (see third row). Find more details in our paper in Astrophysical Journal Vol. 544, pp. 1016-1035 (Dec.1, 2000), or in Alexander Heger's PhD Thesis here .